功率开关器件(如MOSFET, IGBT)广泛应用于新能源汽车、工业、医疗、交通、消费等行业的电力电子设备中,直接影响着这些电力电子设备的成本和效率。因此,实现更低的开关损耗和更低的导通损耗一直是功率半导体行业的不懈追求。相较于传统的硅MOSFET和硅IGBT 产品,基于宽禁带碳化硅材料设计的碳化硅 MOSFET 具有耐压高、导通电阻低,开关损耗小的特点,可降低器件损耗、减小产品尺寸,从而提升系统效率。而在实际应用中,我们发现:带辅助源极管脚的TO-247-4封装更适合于碳化硅MOSFET这种新型的高频器件,它可以进一步降低器件的开关损耗,也更有利于分立器件的驱动设计。
01 TO-247-3与TO-247-4两种封装类型介绍

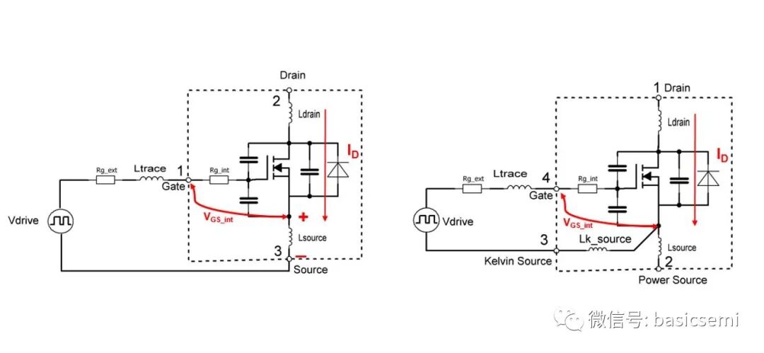
图1 传统TO-247-3封装的MOSFET类型
传统的TO-247-3封装的MOSFET类型如图1所示,其管脚由栅极、漏极和源极构成。从应用角度来看,驱动回路和功率回路共用了源极的管脚。MOSFET是一个电压型控制的开关器件,其开通关断行为由施加在栅极和源极之间的电压(通常称之为VGS)来决定。
从图1模型来看,有几个参数是我们需要特别关注的,因为它对器件的开通关断行为有着非常大的影响。Rg_ext是用户可以用来调整分立器件开通关断的外部电阻,Rg_int是芯片内部的栅极电阻,两者之和称为器件的栅极电阻。门极回路杂散电感Ltrace是驱动回路PCB布局时引入的,而杂散电感Lsource则是封装管脚源极到芯片内部带来的寄生电感。对于漏极到芯片背面的寄生电感Ldrain并没有在驱动回路中,因此不在分析的范围中。
图2 新的TO-247-4封装的碳化硅MOSFET模型
新的TO-247-4封装的碳化硅MOSFET模型如图2所示,我们发现这种封装的管脚数及其管脚定义发生了很大的变化。相对于TO-247-3,这种封装多了一个S极管脚,我们将它称为辅助源极或者开尔文管脚KS(Kelvin Source)。同时,这种封装形式将驱动回路和主功率回路解耦开,有利于驱动板的布局设计。
下面,我们先从实战数据的角度来感受一下,TO-247-4这种带辅助源极管脚的封装形式对碳化硅MOSFET这种高速功率开关带来的优势。
02 从数据的角度去分析共源杂散电感对开关损耗的影响
(1)双脉冲测试时的重要注意事项---电流探头的相位校准对传统的硅基分立器件(硅IGBT和硅MOSFET),通常是用柔性电流探头(罗氏线圈)去测试集电极电流或漏极电流。但对于开关速度更快的碳化硅MOSFET,在实际测试过程中,由于柔性电流探头测试的电流存在一定的延迟时间,从而导致碳化硅MOSFET的开通关断损耗的测量存在很大的偏差(如图3所示)。
由上述波形可知,柔性电流探头测试的电流波形ID需要进行13.8ns左右的相移校准,才能将电流探头的相位与电压探头的相位之差校准为0,这样更接近实际的波形,开关损耗值才能更真实。
我们进一步比较漏极电流波形校准前后对开关损耗的影响:
由测试数据可知,电流探头校准前后的开通损耗和关断损耗相差非常大,因此测试之前很有必要对电流探头进行校准,避免数据分析误差过大。
(2)开关损耗参数对比
我们采用双脉冲的方法来比较一下基本半导体1200V 80mΩ 的碳化硅MOSFET的两种封装B1M080120HC(TO-247-3)和B1M080120HK(TO-247-4)在相同条件下的开关损耗差异。

B1M080120HK的开通损耗相对于B1M080120HC有了明显的下降,关断损耗也有小幅的下降,整体上来看B1M080120HK的总损耗降低是非常明显的。因此,采用TO-247-4封装,对碳化硅MOSFET这种快速开通关断的器件来说,是非常有吸引力的。
下面以基本半导体推出的1200V 80mΩ的碳化硅MOSFET两种封装的典型产品B1M080120HC(TO-247-3)和B1M080120HK(TO-247-4)为例,从理论上来解释TO-247-4中辅助源极管脚的技术逻辑,并解释两者开关损耗的差别。
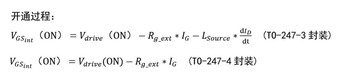
图7 MOSFET开通过程分析
在MOSFET器件的开通过程,其模型如图7所示,其数学模型如下:

以TO-247-3为例,在MOSFET开通过程中,漏极电流ID迅速上升,较高的电流变化率在功率源极杂散电感Lsource上产生正压降LSource*(dID)/dt(上正下负),该电压降使得MOSFET芯片上的门极电压VGS_int在开通的第一瞬间并不是驱动电压的数值,而是要减掉Lsource上产生的电压。所以开通瞬间的门极电压是少了一截的,这导致ID的上升速度减慢,Eon因此而增大。而对于B1M080120HK(TO-247-4),门极回路中没有大电流穿过,所以没有来自主功率回路的扰动,芯片的门极能正确地感受到驱动电压。因此,与B1M080120HC(TO-247-3)相比,B1M080120HK(TO-247-4)开通损耗会更低。
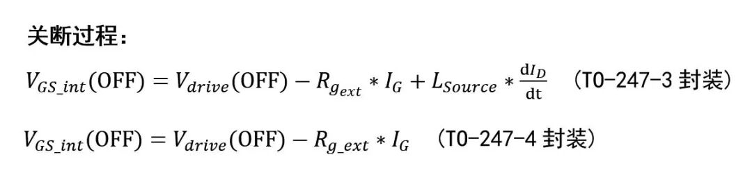
(2)关断过程分析
在MOSFET器件的关断过程,其模型如图8所示,其数学模型如下:
以TO-247-3为例,在MOSFET关断过程中,漏极电流ID迅速下降,较高的电流变化率在功率源极杂散电感Lsource上产生负压降LSource*(dID)/dt(上负下正),该电压降使得MOSFET芯片上的门极电压VGS_int在关断的第一瞬间并不是驱动电压的数值,而是要增加Lsource上产生的电压。所以关断瞬间的门极电压是减小比较慢的,这导致ID的下降速度减慢,Eoff因此而增大。而对于B1M080120HK(TO-247-4),门极回路中没有大电流穿过,所以没有来自主功率回路的扰动,芯片的门极能正确地感受到驱动电压。因此,与B1M080120HC(TO-247-3)相比,B1M080120HK(TO-247-4)关断损耗也会更低。
引入了辅助源极管脚成为TO-247-4封装的碳化硅MOSFET,避免了驱动回路和功率回路共用源极线路,实现了这两个回路的解耦。同时,TO-247-4封装的开关器件由于没有来自功率源极造成的栅极电压衰减,使得碳化硅MOSFET(TO-247-4封装)的开关速度会比TO-247-3封装的更快,开关损耗更小。
因此,当您在使用碳化硅MOSFET进行新方案设计时,为进一步减小碳化硅MOSFET器件的开关损耗以及便于驱动回路的布局设计,建议选择TO-247-4封装的碳化硅MOSFET产品。